QR Code
Linear Algebra Solver

Linear Algebra Solver

5.0 by ALG Software Lab
(0 Reviews) September 22, 2025
Linear Algebra Solver Linear Algebra Solver Linear Algebra Solver Linear Algebra Solver Linear Algebra Solver Linear Algebra Solver

Latest Version

Version
5.0
Update
September 22, 2025
Developer
ALG Software Lab
Categories
Education
Platforms
Android
Downloads
1
License
Free
Package Name
com.algosoftware.matrix
Visit Page

More About Linear Algebra Solver

Linear Algebra Solver is your go-to app for solving matrices, determinants, and vector problems — ideal for students, engineers, and anyone working with linear algebra.
Perform step-by-step calculations with clear, detailed solutions. The app supports matrices up to 5x5 and 2D/3D vectors, with each calculator including a quick theoretical explanation to deepen your understanding.

Key Features:
• Solve matrices, determinants, inverses, and systems of equations
• Calculate vector operations: dot product, cross product, projections, and more
• Step-by-step solutions with intermediate steps shown
• Random number generator for quick practice problems
• Multilingual support: English, French, German, Italian, Portuguese, Russian, Spanish, and Ukrainian

Matrix Operations:
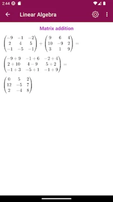
• Addition, subtraction, and scalar multiplication
• Matrix square and matrix multiplication
• Matrix transposition
• Inverse and identity matrices

Determinant Calculations:
• Sarrus method (3x3 matrices)
• Laplace expansion (up to 5x5)

Vector Operations:
• Vector length and coordinates from two points
• Addition, subtraction, scalar and vector multiplication
• Dot product and cross product
• Mixed (scalar) triple product
• Angle between vectors and vector projection
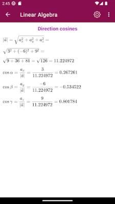
• Direction cosines, collinearity, orthogonality, coplanarity
• Area of triangle or parallelogram formed by vectors
• Volume of pyramid or parallelepiped formed by vectors

The app is actively developed and frequently updated with new calculators and features.
Stay tuned and download Linear Algebra Solver today to simplify your math workflow!

Rate the App

Add Comment & Review

User Reviews

Based on 0 reviews
5 Star
0
4 Star
0
3 Star
0
2 Star
0
1 Star
0
Add Comment & Review
We'll never share your email with anyone else.